Home Tehnoloģija Orbītā jums ir jāsamazina, lai paātrinātu

Orbītā jums ir jāsamazina, lai paātrinātu

14
0

Ja skatāties zinātniskās fantastikas filmas, jūs domājat, ka lidošana ar kosmosa kuģi ir gluži kā braukšana ar nedaudz sarežģītāku automašīnu (vai Winnebago Kosmosa bumbas). Un Džordžs Lūkass mums sniedza galaktikas cīņas ar pilotiem, kuri izskatās tā, it kā viņi lidotu ar iznīcinātājiem uz Zemes.

Nu, sliktas ziņas: kosmoss patiešām ir atšķirīgs. Jo īpaši transportlīdzekļa pārvietošana orbītā ap Zemi ir daudz sarežģītāka. Manevriem, kurus jūs varētu veikt ar lidmašīnu, orbītā dažreiz ir pretējs efekts.

Lai saprastu, ko es domāju, mēs vispirms vienkārši paķersim dažas pamata fizikas un izveidosim sev nelielu orbitālās mehānikas modeli, un tad man ir dažas lieliskas dokstacijas manevra mēģinājuma simulācijas. Lasiet tālāk!

Apļveida orbītas

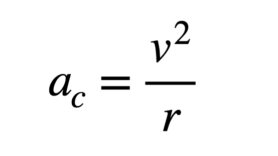
Iedomājieties, ka lidojat riņķveida orbītā ap Zemi. Ir trīs lielas fizikas idejas, kas mums ir vajadzīgas, lai saprastu šāda veida kustību. Pirmkārt, centripetālais paātrinājums. Atcerieties, ka paātrinājums ir mērs, cik ātri mainās objekta ātrums.

Guess ātrums nav tikai ātrums, tas ir ātrums konkrētā gadījumā virziens– citiem vārdiem sakot, tas ir vektors. Ja objekts pārvietojas pa apli, tā virziens pastāvīgi mainās, kas nozīmē, ka tas nepārtraukti paātrinās, pat ja tā ātrums ir nemainīgs!

Šī paātrinājuma virziens ir vērsts uz apļa centru. (“Centripetāls” nozīmē centrējums.) Paātrinājuma lielums ir atkarīgs gan no ātruma lieluma (v)(ti, ātrums) un rādiuss (r) no apļa. Tas dod šādu vienādojumu:

Ar Reta Allena pieklājību

avots